160. 相交链表
给你两个单链表的头节点 headA 和 headB ,请你找出并返回两个单链表相交的起始节点。如果两个链表不存在相交节点,返回 null 。
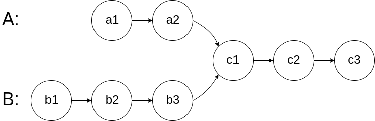
图示两个链表在节点 c1 开始相交**:**

题目数据 保证 整个链式结构中不存在环。
注意,函数返回结果后,链表必须 保持其原始结构 。
自定义评测:
评测系统 的输入如下(你设计的程序 不适用 此输入):
-
intersectVal- 相交的起始节点的值。如果不存在相交节点,这一值为0 -
listA- 第一个链表 -
listB- 第二个链表 -
skipA- 在listA中(从头节点开始)跳到交叉节点的节点数 -
skipB- 在listB中(从头节点开始)跳到交叉节点的节点数
评测系统将根据这些输入创建链式数据结构,并将两个头节点 headA 和 headB 传递给你的程序。如果程序能够正确返回相交节点,那么你的解决方案将被 视作正确答案 。
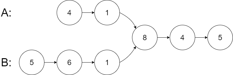
示例 1:

**输入:**intersectVal = 8, listA = [4,1,8,4,5], listB = [5,6,1,8,4,5], skipA = 2, skipB = 3
**输出:**Intersected at '8'
**解释:**相交节点的值为 8 (注意,如果两个链表相交则不能为 0)。
从各自的表头开始算起,链表 A 为 [4,1,8,4,5],链表 B 为 [5,6,1,8,4,5]。
在 A 中,相交节点前有 2 个节点;在 B 中,相交节点前有 3 个节点。
— 请注意相交节点的值不为 1,因为在链表 A 和链表 B 之中值为 1 的节点 (A 中第二个节点和 B 中第三个节点) 是不同的节点。换句话说,它们在内存中指向两个不同的位置,而链表 A 和链表 B 中值为 8 的节点 (A 中第三个节点,B 中第四个节点) 在内存中指向相同的位置。
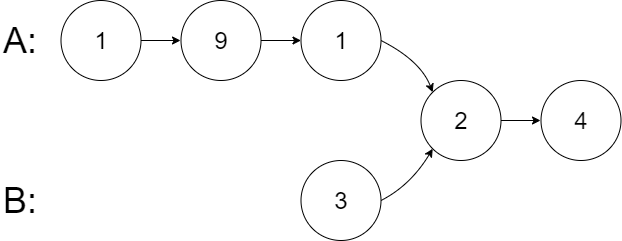
示例 2:

**输入:**intersectVal = 2, listA = [1,9,1,2,4], listB = [3,2,4], skipA = 3, skipB = 1
**输出:**Intersected at '2'
**解释:**相交节点的值为 2 (注意,如果两个链表相交则不能为 0)。
从各自的表头开始算起,链表 A 为 [1,9,1,2,4],链表 B 为 [3,2,4]。
在 A 中,相交节点前有 3 个节点;在 B 中,相交节点前有 1 个节点。
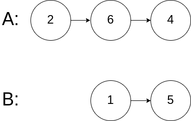
示例 3:

**输入:**intersectVal = 0, listA = [2,6,4], listB = [1,5], skipA = 3, skipB = 2
**输出:**No intersection
**解释:**从各自的表头开始算起,链表 A 为 [2,6,4],链表 B 为 [1,5]。
由于这两个链表不相交,所以 intersectVal 必须为 0,而 skipA 和 skipB 可以是任意值。
这两个链表不相交,因此返回 null 。
提示:
-
listA中节点数目为m -
listB中节点数目为n -
1 <= m, n <= 3 * 104 -
1 <= Node.val <= 105 -
0 <= skipA <= m -
0 <= skipB <= n -
如果
listA和listB没有交点,intersectVal为0 -
如果
listA和listB有交点,intersectVal == listA[skipA] == listB[skipB]
**进阶:**你能否设计一个时间复杂度 O(m + n) 、仅用 O(1) 内存的解决方案?
/**
* Definition for singly-linked list.
* type ListNode struct {
* Val int
* Next *ListNode
* }
*/
func getIntersectionNode(headA, headB *ListNode) *ListNode {
}
解决
哈希
暴力破解,将A全部节点加入map,再遍历B节点,如果map中存在,则返回该节点
func getIntersectionNode(headA, headB *ListNode) (ans *ListNode) {
var headMap = make(map[*ListNode]struct{})
for headA != nil {
headMap[headA] = struct{}{}
headA = headA.Next
}
for headB != nil {
_, ok := headMap[headB]
if ok {
return headB
}
headB = headB.Next
}
return
}
时间复杂度 O(N),空间复杂度 O(N)
双指针

func getIntersectionNode(headA, headB *ListNode) (ans *ListNode) {
if headA == nil || headB == nil {
return
}
p, q := headA, headB
for p != q {
if p != nil {
p = p.Next
} else { // 如果已经走到最后的空节点
p = headB // 进入例外一个链表 y
}
if q != nil {
q = q.Next
} else { // 如果已经走到最后的空节点
q = headA // 进入例外一个链表 x
}
}
return p
}
时间复杂度 O(N),空间复杂度 O(1)